Mencari cara cepat dan akurat untuk menghitung akar kuadrat? Kalkulator Akar Kuadrat kami adalah solusi tepat. Baik Anda pelajar yang sedang belajar aljabar, profesional di bidang teknik, maupun yang ingin memperdalam kemampuan matematika, alat ini menyediakan metode cepat dan andal untuk menentukan akar kuadrat dari bilangan positif apa pun.
Untuk perhitungan akar yang lebih kompleks, coba gunakan Kalkulator Akar — alat yang lebih canggih yang menangani berbagai jenis akar. Untuk perhitungan lanjutan, cek bagian Matematika yang berisi ribuan alat kalkulator.
Apa Itu Akar Kuadrat?
Akar kuadrat adalah angka yang, jika dikalikan dengan dirinya sendiri, menghasilkan nilai aslinya. Misalnya, akar kuadrat dari 25 adalah 5, karena 5 × 5 = 25. Operasi ini biasanya ditulis menggunakan simbol radikal (√), di mana angka di dalamnya dikenal sebagai radikan.
Secara matematis, √x = y berarti bahwa y² = x.
Simbol Akar Kuadrat (√)
Simbol √ adalah bagian yang dikenal dalam matematika untuk menandai operasi akar kuadrat. Bentuknya berasal dari huruf Latin "r", singkatan dari radix (artinya “akar”), yang mencerminkan konsep utama menemukan angka dasar yang jika dipangkatkan dua menghasilkan nilai asli.
Notasi ini sudah ada sejak abad ke-16, pertama kali diperkenalkan oleh matematikawan Christoph Rudolff. Sejak saat itu, simbol ini menjadi simbol dasar dalam matematika modern, terutama di bidang seperti aljabar, geometri, dan kalkulus.
Seiring waktu, simbol akar kuadrat berkembang mencakup operasi akar yang lebih kompleks, misalnya akar kubik (∛) dan akar ke-n (𝑛√). Bentuk lanjutan ini sangat penting dalam menyelesaikan berbagai masalah matematika, khususnya saat menangani polinomial, persamaan nonlinier, atau menyederhanakan ekspresi dengan cara yang jelas dan singkat. Anda juga bisa mencoba perhitungan akar kubik dengan Kalkulator Akar Kubik.

Akar Kuadrat dari Bilangan Negatif
Dalam himpunan bilangan real, akar kuadrat dari bilangan negatif tidak ada karena tak ada bilangan real pangkat dua yang menghasilkan nilai negatif. Namun dalam sistem bilangan kompleks, hal ini dimungkinkan dengan menggunakan unit imajiner (i), di mana i² = −1.
Contoh: √−9 = 3i
Hal ini sangat penting dalam matematika lanjutan, fisika, dan bidang teknik yang berhubungan dengan gelombang atau sistem kelistrikan.
Operasi Akar Kuadrat
Akar kuadrat mengikuti aturan matematika tertentu untuk penjumlahan, pengurangan, perkalian, dan pembagian. Aturan ini menjaga keakuratan saat bekerja dengan bilangan rasional dan irrational.
Akar kuadrat tidak bisa langsung dijumlahkan atau dikurangkan kecuali radikannya — angka di dalam simbol akar — sama. Hal ini karena aturan akar kuadrat berbeda dengan penjumlahan atau pengurangan biasa.
Contoh: √9 + √16 = 3 + 4 = 7
Dalam contoh ini, akar kuadrat dihitung terpisah sebelum dijumlahkan. Namun, untuk ekspresi seperti √9 + √8, penyederhanaan tidak bisa dilakukan karena radikannya berbeda.
Dalam beberapa kasus, penyederhanaan radikan dapat menemukan faktor bersama. Misalnya:
√50 + √18
= √(25×2) + √(9×2)
= 5√2 + 3√2 = 8√2
Akar kuadrat dapat dikalikan dengan menggabungkan radikannya dalam satu simbol akar sesuai sifat:
√a ×√b = √ab
Demikian juga, akar kuadrat dapat dibagi dengan menggabungkan radikan di bawah satu simbol akar, sesuai aturan:
√a ÷ √b = √(a ÷ b)
Aturan ini memungkinkan Anda menyederhanakan ekspresi akar kuadrat dengan menggabungkan menjadi satu akar.
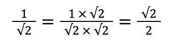
Namun, saat membagi, penting memastikan penyebut tidak mengandung akar kuadrat. Jika iya, Anda perlu melakukan rasionalisasi penyebut — langkah standar dalam menyederhanakan ekspresi radikal.
Contoh:
.png)
Proses ini menghilangkan akar kuadrat dari bagian bawah pecahan, sehingga ekspresi menjadi lebih bersih dan cocok untuk perhitungan selanjutnya.
Turunan Akar Kuadrat
Dalam kalkulus, fungsi akar kuadrat dapat diderivasi menggunakan aturan pangkat. Tulisan ulang: x=x12Kemudian diterapkan: ddxx=ddxx12=12x−12=12x Rumus ini menunjukkan laju perubahan √𝑥 menurun saat 𝑥 bertambah, mencerminkan perubahan grafik yang melandai secara bertahap.
Contoh:
Misalkan f(x)=√x. Untuk menemukan turunan pada x = 4:
f ′(4) = 1 / (2√4) = 0.25
Ini berarti kemiringan garis singgung grafik y=√x pada x = 4 adalah 0.25
Grafik Akar Kuadrat
Grafik fungsi akar kuadrat, y = √x, memiliki bentuk khas seperti setengah parabola yang membuka ke kanan dan berada di atas sumbu x. Grafik dimulai dari titik asal (0, 0) dan hanya berlanjut untuk x ≥ 0 dalam sistem bilangan real, karena akar kuadrat dari nilai negatif tidak terdefinisi dalam bilangan real.

Akar Kuadrat dari Pangkat dan Pecahan
Akar kuadrat juga berlaku untuk pangkat dan pecahan, mengikuti sifat matematika tertentu:
- Akar Kuadrat dari Pangkat: Akar kuadrat dari xn dapat ditulis sebagai:
√(xⁿ) = x^(n/2)
- Akar Kuadrat dari Pecahan: Akar kuadrat dari pecahan dihitung dengan akar kuadrat pembilang dan penyebut secara terpisah:
√(a/b) = √a / √b
Akar kuadrat sering muncul dalam rumus geometri, khususnya rumus Heron untuk luas segitiga. Coba Kalkulator Luas Segitiga kami untuk melihat penerapannya.